华体会体育

华体会体育 行业资讯 政策法规 产业市场 节能技术 能源信息 宏观环境 会议会展 活动图库 资料下载 焦点专题 智囊团 企业库
宏观环境  节能产业网 >> 宏观环境 >> 宏观经济 >> 正文
中汽协:前10月销量前十位车企共销售501.8万辆
来源:中汽协会数据 时间:2021/11/30 16:11:59 用手机浏览

\

 

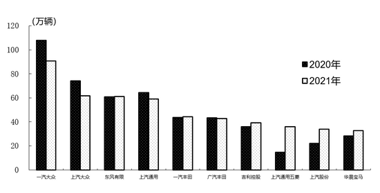
据中国汽车工业协会统计分析,2021年1-10月,销量排名前十位的轿车生产企业共销售501.8万辆,占轿车销售总量的64.3%。

在销量排名前十位的轿车生产企业中,与上年同期相比,一汽大众、上汽大众销量呈较快下降,上汽通用和广汽丰田降幅略低,其他企业均呈增长,上汽通用五菱增速最为显著。




分享到:
华体会体育相关的文章 iTAG:
没有华体会体育相关的文章
频道推荐
服务中心
微信公众号

CESI
关于本站
版权声明
广告投放
网站帮助
联系我们
网站服务
会员服务
最新项目
资金服务
园区招商
展会合作
节能产业网是以互联网+节能为核心构建的线上线下相结合的一站式节能服务平台。
©2007-2020 CHINA-ESI.COM

节能QQ群:39847109
顶部微信二维码底部
扫描二维码关注官方公众微信